化學反應熱風險評估的六大關鍵問題解析
01 熱風險
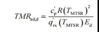
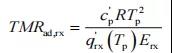
化學反應的熱風險就是由反應失控及其相關后果(如引發的二次效應)帶來的風險。所以,必須搞清楚一個反應怎樣由正常過程切換到失控狀態。為了進行這樣的評估,除了熱爆炸理論,還需要掌握風險評估的相關內容。 從傳統意義上說,風險被定義為潛在的事故的嚴重度和發生可能性的組合。因此,風險評估必須既評估其嚴重度又評估其可能性。顯然,這樣分析的結果有助于設計各種風險降低措施。現在的問題是:對于特定的化學反應或工藝,其固有熱風險的嚴重度和發生可能性到底是什么含義? 為了進行嚴重度和發生可能性的評估,必須對事故情形包括其觸發條件及導致的后果進行辨識、描述。通過定義和描述事故的引發條件和導致結果來對其嚴重度和發生可能性進行評估。對于熱風險,最糟糕的情況是發生反應器冷卻失效, 或通常所認為的反應物料或物質處于絕熱狀態。這里,我們考慮冷卻失效的情形。 02 冷卻失效模型 以一個放熱間歇反應為例來說明失控情形時化學反應體系的行為。對其行為的描述,目前普遍接受的是R. Gygax提出的冷卻失效模型。 該模型認為:在室溫下將反應物加入反應器,在攪拌狀態下將反應體系加熱到目標反應溫度,然后使其保持在反應停留時間和產率都經過優化的水平上。反應完成后,冷卻并清空反應器(圖1中虛線)。假定反應器處于目標反應溫度Tp時發生冷卻失效(圖中點4),如果未反應物質仍存在于反應器中,則繼續進行的反應將導致溫度升高。此溫升取決于未反應物料的量,即取決于工藝操作條件。溫度將到達合成反應的最高溫度(Maximum Temperature of the Synthesis Reaction,MTSR)。該溫度有可能引發反應物料的分解(稱為二次分解反應),而二次分解反應放熱會導致溫度進一步上升(圖1階段6),到達最終溫度Tend。 圖1 冷卻失效模型 目標反應失控有可能會引發二次反應。目標反應與二次反應之間存在的這種差別可以使評估工作簡化,因為這兩個由MTSR聯系在一起的反應階段事實上是分開的,允許分別進行研究。下面的問題代表了6個關鍵點,這些關鍵點有助于建立失控模型,并對確定風險評估所需的參數提供指導。 問題 1:正常反應時,通過冷卻系統是否能夠控制工藝溫度? 正常操作時,必須保證足夠的冷卻能力來控制反應器的溫度,從而控制反應歷程,工藝研發階段必須考慮到這個問題。為了確保能夠有效移除反應體系放出的熱量,冷卻系統必須具有足夠的冷卻能力。此外,需要特別注意:反應物料可能出現的黏性變化問題(如聚合反應);反應器壁面可能出現的積垢問題;以及反應器應在動態穩定性區內運行(即反應器內的目標反應是否存在參數敏感的問題)。對于這個問題,必須獲得反應的放熱速率qrx和反應器的冷卻能力qex,這些數據可以通過反應量熱儀獲得。 問題 2:目標反應失控后體系溫度會達到什么樣的水平? 冷卻失效后,如果反應混合物中仍然存在未轉化的反應物,則這些未轉化的反應物將在不受控的狀態下繼續反應并導致絕熱升溫,這些未轉化的反應物被認為是物料積累,產生的熱量與累積百分數成正比。所以,要回答這個問題就需要研究反應物的轉化率和時間的函數關系,以確定未轉化反應物的累積度Xac。由此可以得到合成反應的最高溫度MTSR: 這些數據可以通過反應量熱儀獲得。反應量熱儀可以提供目標反應的反應熱,從而確定目標反應的絕熱溫升ΔTad,rx。對放熱速率進行積分就可以確定物料的轉化率,從而進一步獲得物料的累積度Xac。 問題 3:二次反應失控后溫度將達到什么樣的水平? 由于MTSR高于設定的工藝溫度,有可能出現二次反應。不受控制的二次反應,將進一步導致溫度失控。由二次反應的放熱量可以計算出絕熱溫升,并確定從MTSR開始后所到達的最終溫度: 這些數據可以由絕熱量熱儀或微量熱儀獲得,這兩類量熱儀可以提供分解熱,從而確定二次分解反應的絕熱溫升ΔTad,d。 問題 4:什么時刻發生冷卻失效會導致最嚴重的后果? 因為發生冷卻失效的時間不定,必須假定其發生在最糟糕的瞬間,也就是在物料累積達到最大或反應混合物的熱穩定性最差的時候。未轉化反應物的量以及反應物料的穩定性會隨時間發生變化,因此知道在什么時刻累積度最大(潛在的放熱最大)是很重要的。反應物料的熱穩定性也會隨時間發生變化,這常常發生在反應需要中間步驟才能進行的情形中。因此,為了回答這個問題必須同時了解目標反應和二次反應。既具有最大累積又存在最差熱穩定性的情況是最糟糕的情況。顯然,必須采取安全措施予以解決。 對于這個問題,可以通過反應量熱獲取物料累積方面的信息,同時組合采用絕熱量熱儀或微量熱儀來研究物料的熱穩定性問題。 問題 5:目標反應發生失控有多快? 從工藝溫度開始到達MTSR需要經過一定的時間。然而,為了獲得較好的經濟效益,工業反應器常常在較高的目標反應溫度(反應速率很快)下運行。因此,正常工藝溫度之上的溫度升高將導致反應明顯加速。大多數情況下,這個時間很短(見圖1階段 5)。 可通過反應量熱儀獲得反應在Tp溫度下的比放熱速率q'rx (Tp) ,估算目標反應失控后的絕熱誘導期TMRad,rx: 問題 6:從 MTSR 開始,分解反應失控有多快? MTSR溫度下,有可能觸發二次反應,從而導致進一步的失控,二次反應的動力學對確定事故發生可能性起著重要的作用。可通過絕熱量熱儀獲得反應在 MTSR 溫度下的比放熱速率q'rx (TMTSR) ,估算二次反應失控后的絕熱誘導期TMRad,d: 以上6個關鍵問題說明了工藝熱風險知識的重要性。從這個意義上說,它體現了熱風險分析和建立冷卻失效模型的系統方法。一旦模型建立,后面就是對工藝熱風險進行實際評估。 03 熱風險事故 四川省宜賓恒達科技有限公司“7·12”重大爆炸事故 事故現場圖片 2018年7月12日,四川省宜賓恒達科技有限公司發生重大爆炸事故,造成19人死亡,12人受傷,直接經濟損失4142余萬元。該公司原設計生產規模為年產2000噸5-硝基間苯二甲酸、300噸2-(3-磺酰基4-氯苯甲酰)苯甲酸等,實際生產的卻是咪草煙(除草劑)和1,2,3-三氮唑(醫藥中間體)。 該起事故的直接原因是:恒達科技公司在咪草煙生產過程中,操作人員將無包裝標識的氯酸鈉當作丁酰胺,補充投入到R301釜中進行脫水操作。在攪拌狀態下,丁酰胺-氯酸鈉混合物形成具有迅速爆燃能力的爆炸體系,開啟蒸汽加熱后,丁酰胺-氯酸鈉混合物的BAM摩擦及撞擊感度(BAM摩擦感度、撞擊感度試驗是聯邦德國材料試驗研究所(BAM)提出的一種改進試驗方法,為國際通行試驗方法)隨著釜內溫度升高而升高,在物料之間、物料與釜內附件和內壁相互撞擊、摩擦下,引起釜內的丁酰胺-氯酸鈉混合物發生化學爆炸,爆炸導致釜體解體;隨釜體解體過程沖出的高溫甲苯蒸氣,迅速與外部空氣形成爆炸性混合物并產生二次爆炸,同時引起車間現場存放的氯酸鈉、甲苯與甲醇等物料殉爆殉燃和二車間、三車間著火燃燒,進一步擴大了事故后果,造成重大人員傷亡和財產損失。




