成都應急管理簡報
成都市應急管理局簡報
2020年5月城市安全風險預警研判分析報告
一、4月城市安全形勢
(一)生產安全事故方面。4月,全市共發生生產安全事故34起,死亡32人,受傷11人。其中建筑施工事故15起、死亡13人;道路運輸事故14起、死亡15人;工貿事故5起、死亡4人;未發生較大及以上事故。
圖1 2020年4月事故起數行業(按管理分)分布圖

表1 2020年4月兩項指標同比環比情況一覽表

1—4月,全市共發生各類生產安全事故64起、死亡56人、受傷24人,同比分別下降28.1%、37.1%和69.6%。其中,發生交通運輸事故27起、死亡28人、受傷14人,事故起數和死亡人數同比分別下降37.2%、37.8%,受傷人數同比上升16.7%。建筑施工事故26起、死亡20人、受傷8人,同比分別下降18.8%、33.3%和76.5%。工礦商貿行業領域發生事故11起、死亡8人、受傷2人,同比分別下降15.4%、38.5%和93.9%。危化品等其他重點行業領域未發生生產安全事故。從事故類型來看,高處墜落事故高發,事故起數與死亡人數分別占總數(不含道路運輸事故)的48.6%、46.4%;未發生較大事故。發生火災1067起、導致8人死亡,同比火災起數、死亡人數分別下降12.8%、11.1%。

圖2 2020年1-4月事故起數行業(按管理分)分布圖

圖3 2020年1-4月事故與死亡人數地區分布統計圖
(二)道路交通事故概況。全市共發生統計類道路交通事故94起(含道路運輸事故14起)、死亡25人,同比事故減少65起,下降40.9%;同比死亡減少26人,下降51%,未發生較大及以上道路交通事故。
(三)火災事故概況。發生城鄉火災279起,造成2人死亡,同比去年火災事故起數下降3%、死亡人數上升100%。
(四)隱患情況
1.重大危險源與危險化學品系統報警情況。4月共處置各類報警信息282條,同比下降66.8%,環比上升39.6%。其中化工企業報警最多,占22.6%;計劃外停工停產報警與生產異常報警較多,分別占總數的57.5%、17.7%。涉氨企業報警量增多,環比上升128.6%。上午9時、11時和下午13時、15時生產異常報警高,占38%。

圖4 2020年3-4月行業報警分布圖
2.城市安全運行與安全發展情況。當前,我市聚焦森林防火、消防安全、危險化學品、建筑施工、交通運輸、工貿行業、特種設備、旅游安全、城市運行等9大重點行業領域,開展為期三個月的城市安全風險隱患大排查專項行動。4月2日—28日,各區(市)縣和市級行業部門共組織檢查組11728個,檢查企事業單位55946家,0隱患企業占比超過34.3%;排查一般隱患36728項,整治完成32931項,整治率89.7%;重大隱患70項,整治完成36項,整治率51.4%。專項行動以來,僅30.7%的企業開展隱患自查自報自改,新增自查自報一般隱患36664項,無重大隱患,新增填報風險信息1993條,市、區(市)縣兩級部分行業部門和鎮(街道)未上線錄入隱患信息。
二、4月城市安全事故暴露出的主要風險
一是生產經營場所火災不容忽視。4月6日,高新區天府生命科技園成都精濟藥業有限公司發生火災,過火面積約700平方米,造成1人死亡;4月13日,崇州市都市王朝家具廠發生火災,過火面積約400平方米;4月20日,新都區新繁鎮金億路家具廠發生火災,過火面積約200平方米。暴露出生產經營場所消防安全主體責任不落實,設施設備不齊全。
二是外力破壞地下管線事故有所抬頭。2018年以來,全市開展施工破壞地下管線專項整治,有效遏制了施工破管高發態勢,但總量仍然較大,今年1—4月發生了30起施工破壞地下管線事故,特別是青白江區“4·25”天然氣燃爆事故,因農戶雇用挖掘機拓寬門前院壩,導致天然氣管道破裂發生泄露遇火燃爆,造成2死6傷,暴露出這一領域有效的管理辦法缺乏。
三是貨車交通違法時有發生。4月,全市發生了17起貨車道路交通事故,死亡11人,分別占18.1%、44%,其中4月13日—20日的7天時間,成都高新區、簡陽市、龍泉驛區、金堂縣就發生6起運渣車事故,導致7人死亡,需進一步強化監管。
三、5月城市主要安全風險提示
統計數據表明,5月歷來是事故高發期,今年又與全國、省、市“兩會”敏感期“兩碰頭”,需特別關注以下風險:
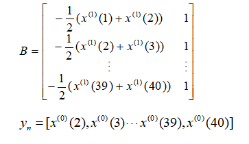
(一)預測5月安全生產事故起數較多。通過灰色預測GM(1,1)模型對2017年1月至2020年4月事故起數進行計算作AGO生成序列
,根據生成序列得到數據矩陣B,yn

從而模型可表示為
代入原始數據得到模型:
灰色預測GM(1,1)模型就是關于數列預測的一個變量、一階微分的模型。它是基于隨機的原始時間序列,經按時間累加后所形成的新的時間序列呈現的規律可用一階線性微分方程的解來逼近。
通過模型計算及誤差分析,預測2020年5月事故發生起數為30.2起,平均相對誤差34.9%。雖2018年5月與2019年5月事故環比下降,但事故起數仍較多,再加之預測2020年5月事故起數較高,因此事故防范工作需持續加強。

圖5 2017年1月-2020年4月事故起數統計圖
(二)一些重點行業領域風險更加集中。由于氣溫上升,居家用電用氣增加,老舊小區火災風險明顯加大;餐飲行業加快復蘇,液化石油氣使用量增多,非法運輸、銷售易抬頭,餐飲企業超量儲存、違規儲存與使用等安全問題更加集中;5月上旬,全市小學將復學復課,疫情期間校園消防安全不容忽視;危險化學品企業生產裝置、管道、存儲罐發生泄漏、燃燒、爆炸和群體中毒事故風險加大;有毒有害、易燃易爆氣體易揮發集聚,有限空間作業中毒窒息事故易發,5月4日,在金牛區順星街46號凱德廣場地下污水管道作業時,2名工人因吸入硫化氫中毒致1人死亡、1人受傷。
(三)自然災害防范還需加強。5月,我市進入汛期。防汛減災各項壓力加大,防范泥石流、崩塌、滑坡等地災應急演練,江河防洪、城市防澇、沿山區域山洪災害防范,以及應急救援等各項準備工作要求更高。加之,今年五一期間出現的高溫天氣,在我市有氣象記錄以來較為少見,突破5月上旬歷史極值,預計未來一段時間我市極易出現雷電、大風和短時強降雨等強對流性天氣,需要加強安全防范。
四、5月防范化解城市安全風險措施及建議
(一)政府及行業部門。
按照全國安全生產電視電話會議和全省、全市森林草原防火滅火暨安全生產工作會議部署,在繼續做好常態化疫情防控條件下城市安全工作的同時,全力以赴防范化解全國、省、市“兩會”期間城市安全重大風險,重點做好以下工作:
一是持續抓好全市安全風險隱患大排查專項行動。重點督促指導各級各有關部門依托城市安全風險信息管理、隱患排查治理動態監管“兩個信息化系統”及時上傳風險辨識和隱患閉環管理情況,實現風險分級管控和隱患閉環管理;根據風險隱患等級由市、區(市)縣兩級實施掛牌督辦,市政府安辦也將通過市長辦公會對5月安全風險大排查隱患整治情況進行通報。
二是針對易發事故進行再安排、再落實。在地下管線方面,突出抓好水電氣訊和相關單位地下管線安全保護、有限空間作業工作,一方面,會同市經信局、市規劃和自然資源局、市住建局、市水務局等部門,對施工破壞地下管線整治工作進行再部署、再落實,盡快研究制定施工破壞地下管線安全管理辦法,形成地下管線安全保護常態化機制。另一方面,組織所有地下管線產權單位,就有限空間作業進行培訓檢查。在城鄉消防方面,加快推進全市37處消防高風險點位的整治;市政府安辦將會同市消防救援支隊,再梳理排查一批倉儲物流、老舊市場、住改倉等重大風險隱患,分區分級再掛牌督辦一批,同時,繼續加強打通生命通道行動、老弱病殘幼等社會面火災整治,堅決防范有社會影響的火災事故。
三是部署開展安全生產專項整治三年行動。按照國務院、省安委辦統一部署,圍繞從根本上消除事故隱患,會同市級相關部門盡快形成全市安全生產專項整治三年行動方案,報請市政府安委會召開2020年第二次全體(擴大)會議,部署2個專題和危險化學品、城鄉消防、交通運輸、城市建設、工礦商貿、特種設備和游樂設施、產業功能區、危險廢物8個專項整治任務,推動建立問題隱患和制度措施“兩個清單”,通過標本兼治、合力共治,完善安全生產責任鏈條、制度辦法、重點工程和工作機制,健全公共安全隱患排查和安全預防控制體系。
四是全面做好防汛減災各項準備。組織力量前往防汛、防地災重點區域開展汛前應急準備專項抽查,督促落實各環節責任和措施;抓緊完善2007處地災高風險點位,以及江河水庫、山洪災害危險區、低洼易淹區、地下空間、在建工地等重點區域(部位)的防汛應急預案,確保隱患威脅區告知率、應急預案的覆蓋率達到“兩個100%”,市應急局也將于近日開展一次全員全要素的自然災害救援桌面推演,檢驗應急指揮聯動水平、完善應對處置方案。
(二)企事業單位
一是加快制定《企業安全生產主體責任清單》《重大安全風險管控清單》《安全生產崗位責任清單》《日常安全工作清單》;二是做好日常風險管控,排查治理安全隱患,規范作業現場管理,完善應急處置預案。賓館、飯店、商場、餐飲、娛樂、景區、客運車站等人員密集場所,要保證疏散通道和出口暢通,確保自動報警、自動滅火裝置靈敏可靠;三是做好防汛工作。密切關注氣象、地質災害預警信息,提前做好高溫、暴雨等極端惡劣天氣的安全防范工作。對可能導致坍塌、垮塌的設施設備、危險場所和部位加強安全檢查。加大對危險邊坡、隧道涵洞、堤壩河道、房屋建筑、地下工程施工、渣土受納場、臨時建筑、地勢低洼等重點區域(場所)隱患治理的力度。進一步完善防汛應急預案,充實應急物資,開展應急演練,嚴防極端惡劣天氣引起次生災害。
(三)社會公眾
一是旅游時,應當增加安全意識,嚴格執行旅游項目、設施安全規程;野外游玩嚴禁燒荒和在非指定區露天燒烤、野炊等野外用火行為,倡導文明祭祀、防火保林。二是出行前要密切關注氣象預報,景區景點、交通路況等預警信息,提前規劃好行車路線,通過易發生地質災害區域要注意觀察,防止發生意外;應遵規守法,謹慎駕駛,防治疲勞駕駛,文明禮讓,平安出行。三是居家要注意用電用氣安全,不要購買“三無”的假冒偽劣家用產品;不要用濕手接觸帶電設備,不要用濕布擦抹帶電設備;不要私拉亂接電線,不要隨便移動帶電設備,不超負荷運行電氣設備;家用電器損壞后要請專業人員或送修理店修理,嚴禁非專業人員在帶電情況下打開家用電器外殼;家用電器的電源線破損時,要立即更換或用絕緣布包扎好;家用電器或電線發生火災時,應先斷開電源再滅火;不要將電動車停放在通道上,嚴禁在室內充電。
附件:
1.成都市城市安全風險隱患大排查專項行動工作統計表
2.成都市隱患排查治理動態監管系統企業隱患自查自報自改情況表





